|
||||
|
|
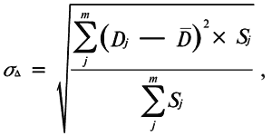
3. Коэффициент локализации, коэффициент производства продукции района на душу населения, коэффициент межрайонной товарности Коэффициент локализации данного производства (L) представляет собой отношение удельного веса данной отрасли в структуре производства к удельному весу той же отрасли в стране. Его расчет производится по валовой товарной продукции, основным промышленным фондам и численности промышленно-производственного персонала. ![]() где хj – доля j-гo региона в общем объеме факторного признака; уj – доля j-гo региона в общем объеме результативного явления (в данном случае товарооборота); n – число j-х регионов. Коэффициент душевого производства ?? исчисляется как отношение удельного веса отрасли хозяйства региона в соответствующей структуре отрасли страны к удельному весу населения региона в населении страны. ![]() где Dj – товарооборот на душу населения j-го региона; D — средний товарооборот на душу населения по всем регионам; Sj– численность населения j-го региона; m – число j-х регионов. Коэффициент региональной товарности (КМт) рассчитывается как отношение вывоза из региона данной продукции к ее региональному производству. ![]() где Pij, – цена i-го товара в j-м регионе; S – численность жителей j-го региона; n – число i-х товаров; m – число j-х регионов. Если расчетные показатели больше или равны единице, то такая отрасль является отраслью рыночной специализации района. |
|
||
|
Главная | В избранное | Наш E-MAIL | Добавить материал | Нашёл ошибку | Наверх |
||||
|
|
||||